Skip to content Skip to sidebar Skip to footer

How To Add Rational Expressions - What are the steps to simplify rational expressions?

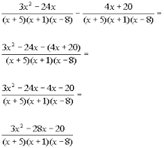
How To Add Rational Expressions - What are the steps to simplify rational expressions?. What are the steps to simplify rational expressions? When the denominators are not the same in all expressions that you want to add or subtract as in the example below you have to find a common denominator. Factor both the top and the bottom. Find the new numerator for. When the denominators are not the same, we must manipulate them so that they become the same.

Rewrite as the numerator divided by the denominator. Make sure you subtract the entire. What are the steps to simplify rational expressions? When the denominators are not the same in all expressions that you want to add or subtract as in the example below you have to find a common denominator. When adding or subtracting two or more rational expressions with common den.

Adding Rational Expressions With Different Denominators 1 Help Video In High School Math Algebra Free Math Help Videos Online By Mathvids Com
Adding Rational Expressions With Different Denominators 1 Help Video In High School Math Algebra Free Math Help Videos Online By Mathvids Com from pi.mathvids.com
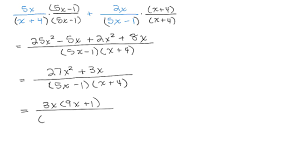
How do you add rational numbers? Factor both the top and the bottom. Combine the expressions in the denominator into a single rational expression by adding or subtracting. Given a complex rational expression, simplify it. A rational expression is a ratio of two polynomials. Learn how to add/subtract rational expressions with monomials in the denominator. Find the least common denominator (lcd). Given two rational expressions, add or subtract them.

Subtract the numerators, but keep the denominator the same.

When the denominators are not the same, we must manipulate them so that they become the same. When adding or subtracting two or more rational expressions with common den. Add or subtract the numerators. Make sure you subtract the entire. Given two rational expressions, add or subtract them. Find the least common denominator (lcd). Factor both the top and the bottom. How do you add rational numbers? Adding and subtracting rational expressions. How do you multiply rational expressions in algebra? X x − 1 + 2 − x x − 1 = x + 2 − x x − 1 = 2 x − 1. Combine the expressions in the denominator into a single rational expression by adding or subtracting. What are the steps to simplify rational expressions?

Given a complex rational expression, simplify it. X x − 1 + 2 − x x − 1 = x + 2 − x x − 1 = 2 x − 1. Find the new numerator for. To add or subtract two rational expressions with the same denominator, we simply add or subtract the numerators and write the result over the common denominator. What are the steps to simplify rational expressions?

Adding And Subtracting Rational Expressions Worksheet 1 Adding And Subtracting Rational Expressions Worksheet Milliken Publishing Company Collection
Adding And Subtracting Rational Expressions Worksheet 1 Adding And Subtracting Rational Expressions Worksheet Milliken Publishing Company Collection from wmy.swazibankg930t.pw
When the denominators are not the same, we must manipulate them so that they become the same. What are the steps to simplify rational expressions? Adding and subtracting rational expressions. Find the new numerator for. Factor both the top and the bottom. Make sure you subtract the entire. Subtract the numerators, but keep the denominator the same. Factor the denominator of each fraction to help find the lcd.

Factor the denominator of each fraction to help find the lcd.

X x − 1 + 2 − x x − 1 = x + 2 − x x − 1 = 2 x − 1. The easiest way to do this is to multiply the denominators with each other, but that might not get the simplest computations and usually requires a lot of simplifying afterwards, but it's a method that always works if you're uncertain. Given a complex rational expression, simplify it. Learn how to add/subtract rational expressions with monomials in the denominator. How do you multiply rational expressions in algebra? When the denominators are not the same, we must manipulate them so that they become the same. When adding or subtracting two or more rational expressions with common den. Make sure you subtract the entire. When the denominators are not the same in all expressions that you want to add or subtract as in the example below you have to find a common denominator. Find the new numerator for. To add or subtract two rational expressions with the same denominator, we simply add or subtract the numerators and write the result over the common denominator. Find the least common denominator (lcd). Combine the expressions in the numerator into a single rational expression by adding or subtracting.

Rewrite as the numerator divided by the denominator. When adding or subtracting two or more rational expressions with common den. Find the lcd of the expressions. Given a complex rational expression, simplify it. Multiply the expressions by a form of 1 that changes the denominators to the lcd.

Rational Expressions Puzzle Add Worksheets Teaching Resources Tpt
Rational Expressions Puzzle Add Worksheets Teaching Resources Tpt from ecdn.teacherspayteachers.com
Add or subtract the numerators. The easiest way to do this is to multiply the denominators with each other, but that might not get the simplest computations and usually requires a lot of simplifying afterwards, but it's a method that always works if you're uncertain. Subtract the numerators, but keep the denominator the same. How do you add and subtract radical expressions? Learn how to add/subtract rational expressions with monomials in the denominator. Given a complex rational expression, simplify it. Find the lcd of the expressions. X x − 1 + 2 − x x − 1 = x + 2 − x x − 1 = 2 x − 1.

Given two rational expressions, add or subtract them.

Subtract the numerators, but keep the denominator the same. Find the least common denominator (lcd). How do you add rational numbers? How do you add and subtract radical expressions? Given a complex rational expression, simplify it. What are the steps to simplify rational expressions? Learn how to add/subtract rational expressions with monomials in the denominator. Factor both the top and the bottom. How do you multiply rational expressions in algebra? Rewrite as the numerator divided by the denominator. Adding and subtracting rational expressions. The easiest way to do this is to multiply the denominators with each other, but that might not get the simplest computations and usually requires a lot of simplifying afterwards, but it's a method that always works if you're uncertain. Find the new numerator for.